องค์การบริหารส่วนตำบลดอนดู่ อำเภอหนองสองห้อง จังหวัดขอนแก่น : www.kkdondoo.go.th

 
 
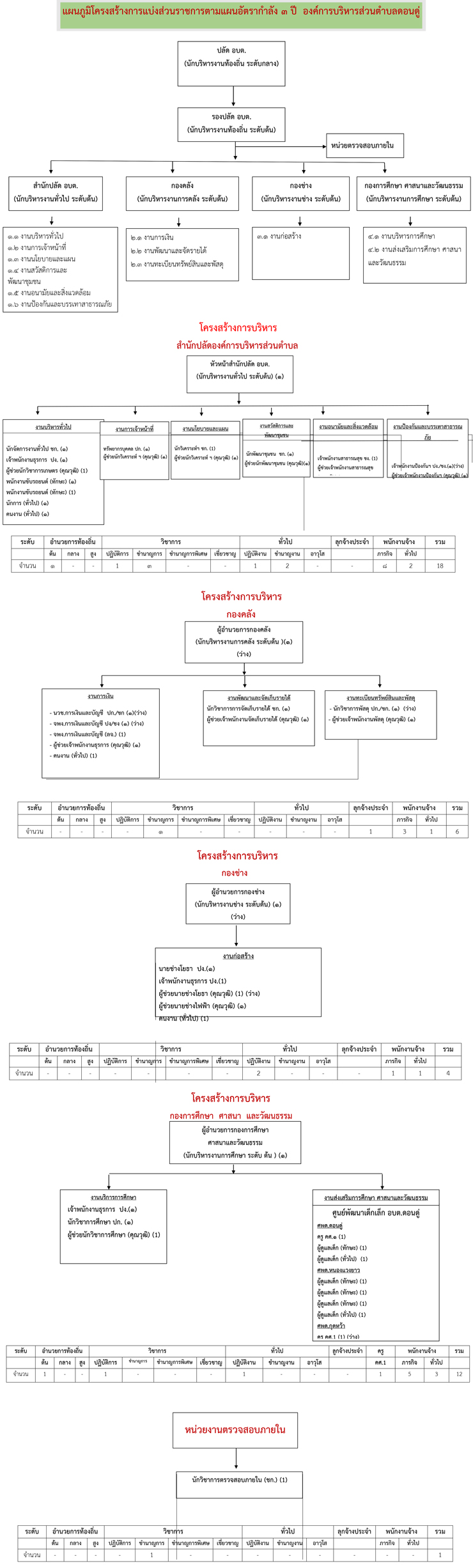
โครงสร้างองค์กร